各位同学:
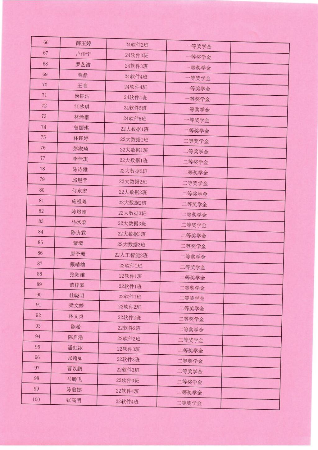
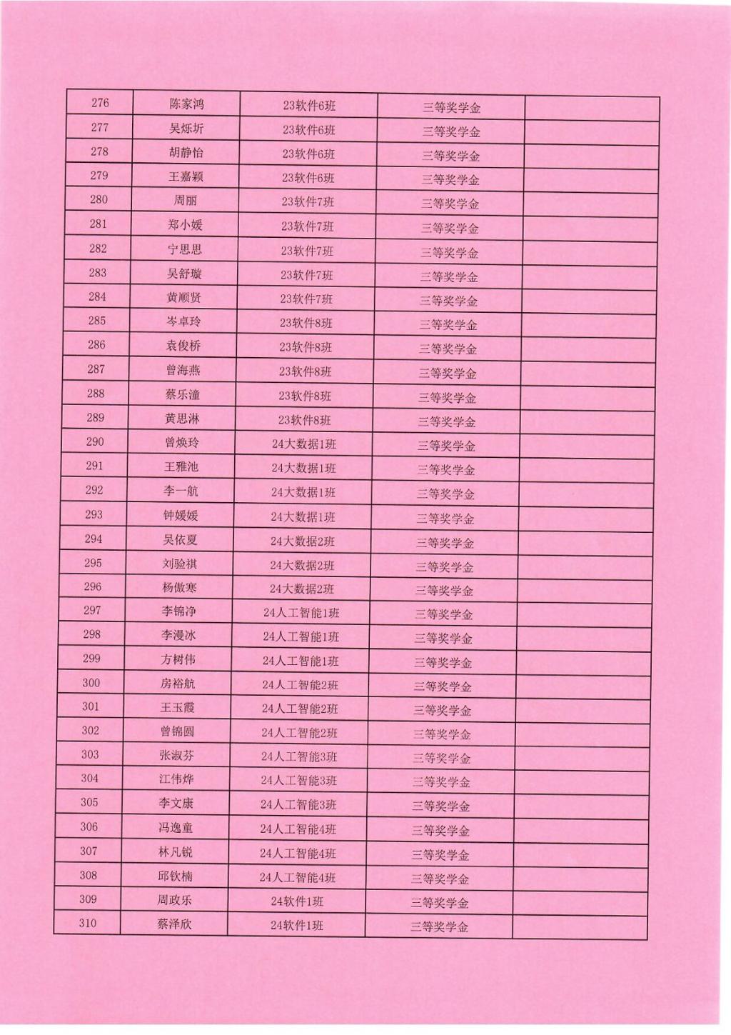
根据我校《2024-2025学年奖学金评比工作方案》通知(〔2025〕162号)文件的要求,威廉希尔本着公平、公正、公开的原则对申报优秀学生奖学金奖材料进行严格评选,现对2024-2025学年奖学金拟推荐名单进行公示,此公示名单仅为学院评定,最终获奖名单请以学校公示为准。
公示时间:2025年9月25日-2025年9月28日。
受理地点:5-307办公室
受理时间:工作日上午8:00-12:00,下午14:30-18:00
联系电话:020-89736380 李书记
如对公示结果有异议,请于公示期内到5-307办公室向李书记实名反映。反映情况时请提供真实具体的事实材料,并签署姓名和联系电话;不提供具体事实材料或不签署真实姓名和联系方式的,将不予受理反映情况。













版权所有:英国·威廉希尔(williamhill)唯一中文官方网站
邮编:510540